山东省机关事业单位工作人员养老保险制度改革实施办法
鲁人社发〔2015〕46号
各市人力资源社会保障局、财政局,省委各部门,省政府各部门、各直属机构,省人大常委会办公厅,省政协办公厅,省法院,省检察院,各民主党派省委,各人民团体,各驻鲁中央国家机关所属单位:
经省政府同意,现将《山东省机关事业单位工作人员养老保险制度改革实施办法》印发给你们。各市要根据国务院和省政府要求,结合本地实际,研究制定本市具体实施方案,对组织领导、具体任务、工作进度、监督检查等做出统筹安排。各部门要制定工作方案,明确工作任务、分工和要求。各市具体实施方案经市政府同意后,于2015年8月底前报省人力资源社会保障厅、省财政厅。
省人力资源社会保障厅、省财政厅将加强对各市人力资源社会保障部门和财政部门、省直各部门和单位人事管理机构的业务培训。各市、各部门也要结合实际,开展不同层次的业务培训工作,提高工作人员的政策水平和业务能力。要广泛开展宣传工作,坚持正确的舆论导向,准确解读各项政策,让广大干部群众充分理解和积极支持改革。重大问题要及时报告省人力资源社会保障厅、省财政厅。
山东省人力资源和社会保障厅 山东省财政厅
2015年7月28日
(此件主动公开)
山东省机关事业单位工作人员养老保险制度改革实施办法
根据《国务院关于机关事业单位工作人员养老保险制度改革的决定》(国发〔2015〕2号)、《山东省人民政府关于机关事业单位工作人员养老保险制度改革的实施意见》(鲁政发〔2015〕4号,以下简称《实施意见》)和《人力资源社会保障部财政部关于贯彻落实<国务院关于机关事业单位工作人员养老保险制度改革的决定>的通知》(人社部发〔2015〕28号)规定,结合我省实际,制定本办法。
一、关于参保范围
(一)参保的事业单位范围。参加机关事业单位养老保险的事业单位是指,根据《中共山东省委、山东省人民政府关于贯彻中发〔2011〕5号文件精神分类推进事业单位改革的实施意见》(鲁发〔2011〕16号)等有关规定,目前划分为承担行政职能的事业单位和从事公益服务的事业单位(含公益一类、二类、三类事业单位)。
对于划分为从事生产经营活动的事业单位,已参加企业职工基本养老保险的仍继续参加;尚未参加的,暂参加机关事业单位基本养老保险,待其转企改制到位后,自转企改制基准日起,按有关规定纳入企业职工基本养老保险范围。
对于目前尚未确定分类类型的事业单位,已参加企业职工基本养老保险的仍继续参加;尚未参加的,暂参加机关事业单位基本养老保险,待其分类类型确定并改革到位后,纳入相应的养老保险制度。
(二)参保的工作人员范围。根据省政府《实施意见》要求,严格按照机关事业单位编制和人事管理规定确定参保人员范围。编制外人员应依法参加企业职工基本养老保险。对于编制和人事管理不规范的单位,要先按照有关规定进行清理规范,待明确工作人员身份后再纳入相应的养老保险制度。
各地在原机关事业单位养老保险统筹期间,已纳入参保范围的编制外人员,应划转至企业职工基本养老保险继续参保,原统筹期间的个人缴费相应转入本人企业职工基本养老保险个人账户。其中,改革前(2014年10月1日前,下同)已经人力资源社会保障部门核准领取养老金的人员,可保留在机关事业单位基本养老保险范围,原统筹期间的个人缴费并入机关事业单位基本养老保险基金。编制外人员的具体划转办法,由各市(指设区的市,下同)结合实际确定。
对于参加机关事业单位养老保险的单位中的编制内劳动合同制工人,按照国家和省相关规定,参加机关事业单位养老保险,具体办法另行确定。
二、关于缴费基数
(一)单位缴费基数。根据机关事业单位工资制度特点,省政府《实施意见》规定的本单位工资总额为参加机关事业单位养老保险工作人员的个人缴费工资基数之和。
(二)个人缴费基数。机关单位(含参公管理的单位)工作人员的个人缴费工资基数,包括本人上年度工资收入中的以下部分:①基本工资;②国家统一的津贴补贴(指警衔津贴等国家统一规定纳入原退休费计发基数的项目);③规范后的津贴补贴(地区附加津贴);④年终一次性奖金。
事业单位工作人员的个人缴费工资基数,包括本人上年度工资收入中的以下部分:①基本工资;②国家统一的津贴补贴(指教龄津贴、护龄津贴、特级教师津贴等国家和经国家批准由省统一规定纳入原退休费计发基数的项目);③绩效工资。
除上述项目外,其余项目(包括改革性补贴、奖励性补贴等)暂不纳入个人缴费工资基数。纳入个人缴费工资基数的具体项目,按照与纳入统筹的养老保险待遇项目相对应的原则,由省人力资源社会保障厅、省财政厅统一确定。其中,纳入统筹的养老保险待遇项目以省政府规定的待遇项目(标准)为准,其它自行增加的项目和提高的标准,仍从原渠道列支。
三、关于过渡期内养老保险待遇的计发
全省实行统一的过渡办法。对于改革前参加工作、改革后退休的“中人”设立10年过渡期,过渡期内实行新老待遇计发办法对比,保低限高。即:新办法计发待遇(含职业年金待遇)低于老办法待遇标准的,按老办法待遇标准发放,保持待遇不降低;高于老办法待遇标准的,超出的部分,第一年(2014年10月1日至2015年12月31日)退休的人员发放超出部分的10%,第二年(2016年1月1日至2016年12月31日)退休的人员发放20%,依此类推,到过渡期末年(2024年1月1日至2024年9月30日)退休的人员发放超出部分的100%。过渡期结束后退休的人员执行新办法。
按上述办法对比确定实发养老金,需要调增或调减新办法待遇标准时,均相应调增或调减按新办法计算的基本养老金,职业年金待遇不变。
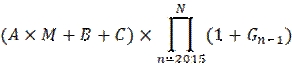
(一)老办法待遇计发标准。具体计算公式如下:
老办法待遇计发标准=

A:2014年9月工作人员本人的基本工资标准;
B:2014年9月工作人员本人的职务职级(技术职称)等对应的退休补贴标准;
C:按照国办发〔2015〕3号文件和我省有关规定相应增加的退休费标准;
M:工作人员退休时工作年限对应的老办法计发比例;
Gn-1:参考第n-1年在岗职工工资增长等因素确定的工资增长率,n∈〔2015,N〕,且G2014=0;
N:过渡期内退休人员的退休年度,N∈〔2015,2024〕。2014年10月1日至2014年12月31日期间退休的,其退休年度视同为2015年。
(二)新办法待遇计发标准。具体计算公式如下:
新办法待遇计发标准=基本养老金+职业年金待遇。其中,基本养老金=基础养老金+过渡性养老金+个人账户养老金。
1.基础养老金=退休时省或市上年度在岗职工月平均工资×(1+本人平均缴费工资指数)÷2×缴费年限(含视同缴费年限,下同)×1%。其中,本人平均缴费工资指数=(视同缴费指数×视同缴费年限+实际平均缴费指数×实际缴费年限)÷缴费年限。
视同缴费指数,遵循改革前后待遇平稳过渡和衔接的原则,由省人力资源社会保障厅在统一测算基础上,设定与机关事业单位职务职级(技术职称)相对应的《视同缴费指数表》,工作人员退休时,根据本人退休时的职务职级(技术职称)等,对应《视同缴费指数表》确定本人视同缴费指数。《视同缴费指数表》的具体设定办法,另行制定。
实际平均缴费指数=(Xn/Cn-1+Xn-1/Cn-2+……+X2016/C2015+ X2015/C2014+X2014/C2013)/N实缴;
Xn、Xn-1、…X2014为参保人员退休当年至2014年相应年度本人各月缴费工资基数之和,Cn-1、Cn-2…C2013为参保人员退休上一年至2013年相应年度省或市在岗职工年平均工资;
N实缴为参保人员实际缴纳养老保险费年限。
2.过渡性养老金=退休时省或市上年度在岗职工月平均工资×本人视同缴费指数×视同缴费年限×1.3%。
3.个人账户养老金=退休时本人基本养老保险个人账户累计储存额÷计发月数。其中,计发月数按国家统一规定执行。
4.职业年金待遇,按照《国务院办公厅关于印发机关事业单位职业年金办法的通知》(国办发〔2015〕18号)和我省有关规定执行。
“2015山东省机关事业单位工作人员养老保险制度改革实施办法”由中国社保网收集整理编辑。
本文地址:http://www.shebaodata.com/xinwen/113389.html
为了社保知识的普及、信息的传播,中国社保网欢迎您转载分享。但请注明文章出处并保留完整链接。否则我们将保留追究其版权责任的权利!
人
2019年社保统归税务征收,中共中央办公厅、国务院办公厅印发《国税地税征管体制改革方案》。社保巨变!2019年1月1日已实施,各行业要当心了!...[查看全文]

【中国社保网编辑按】五险一金是什么?相信每位刚入职的新员工面对复杂的社保体系都是一头雾水,人事经理时常被员工一些幼稚的问题问得不耐烦,本地宝办事易频道为您整理出...[查看全文]