【作者简介】孙祁祥,北京大学经济学院教授、博士生导师100871;林山君,北京大学经济学院博士研究生100871
【内容提要】以现收现付制为基本运行模式的养老保险制度在减少贫困人口、缩小贫富差距以及促进社会公平方面有其重要作用,但在人口老龄化的背景下,它的可持续性也面临着巨大的挑战。本文分析了中国养老保险制度的收入再分配效应,在一个生命周期模型里分析了现收现付制缴费率和制度回报率对其收入再分配效应和劳动供给的扭曲效应的影响,并针对中国的现行制度给出了一个调整方案。
【关 键 词】现收现付制;收入再分配效应;劳动供给扭曲
中图分类号:F840.67文献标识码:A文章编码:1002-8102(2014)05-0061-09
一、引言
由于人口老龄化给现收现付制的运行带来了严峻的挑战,不少研究者认为,养老保险制度应当由现收现付制向积累制转变,迄今为止,一些国家也陆续开始了由现收现付制向积累制的改革。①然而,统计数据表明,几乎所有的发达国家养老保险制度中仍然包含强制性的社会统筹养老金,②究其原因,一方面是因为世行提出的五支柱的养老保险制度框架仍被广泛认可(Holzmann和Hinz,2005),一方面则是因为福利刚性使养老金改革遭遇到了很大的阻力。
在世行五支柱的养老保险制度框架中,强制性社会统筹养老金为第二支柱,通常是按现收现付的模式来运行,而现收现付制的收入再分配效应成为很多学者认为其应当存在于多支柱养老保险体系之中的重要原因。世界银行把充足性(adequate)列为养老保险制度改革的首要目标之一,这主要是指养老保险制度应为全民提供基本保障以防止老年人口陷入贫困(Holzmann和Hinz,2005)。实现这一目标一方面需要普惠性养老金,另一方面更需要用强制性社会统筹养老金来防止普惠制可能带来的过度福利。③Barr和Diamond(2010)将收入再分配列为养老保险制度的核心目标之一,并且认为良好的养老金设计应当充分考虑其收入再分配的方式。美国老年、遗属和残障保险(Old Age,Survivors,and Disability Insurance,OASDI)是一个典型的以现收现付机制运行的养老保险制度,虽然一些学者基于积累制能够取得理想的收益率的假设认为美国应当走向积累制(Feldstein和Liebman,2002),但也有学者指出现收现付制的收入再分配效应是积累制无法替代的(Blinder,1981),美国老年、遗属和残障保险的首要任务是为大多数人提供基本的经济保障,在社会适当性(social adequacy)和个人权益性(inpidual equity)之间,应更倾向于前者(Rejda,2012)。
国内已有学者就中国养老保险制度对于不同收入群体的收入再分配效应进行过研究。如封进(2004)采用世代交叠模型分析了部分积累制的养老保险制度,认为在一个收入差距较大的社会里,如果社会福利函数给予穷人更高的权重,较高的统筹比例是可以提高社会福利的。彭浩然、申曙光(2007)测算了中国2005年养老保险制度改革前后的收入再分配效应,指出新养老保险制度明显减弱了代内收入再分配。何立新(2007)利用国家统计局2002年的城市住户调查数据,根据一系列假设,估计了城镇参保职工在1997年和2005年两个养老保险制度下的纯受益情况。王晓军、康博威(2009)基于中国现行的城镇职工基本养老保险,对不同就业类型人群、不同收入水平人群、不同性别人群、不同缴费年限人群以及不同寿命人群因养老保险制度安排产生的收入再分配进行了测算和分析。
以上研究都是针对中国现行制度进行的分析和测算,但这些研究没有将中国养老保险制度的收入再分配效应与其他国家进行比较,也没有在制度改进方面进行探讨,并且很少提及收入再分配对于劳动供给的扭曲。虽然毛捷(2012)通过国际比较和实证分析,得出中国养老保险制度在提高社会福利方面要弱于OECD七国(美国、英国、日本、韩国、瑞典、法国和德国),需要通过调整养老金替代率等手段增强养老保险的吸引力,但没有指出具体如何调整。
尽管强制性社会统筹养老金可以通过促进社会公平提高社会福利,但这种再分配需要保持在一定的限度内,如果过多地将财富从富人转移给穷人,会对富人的劳动供给产生扭曲作用。因此,在制定养老金相关政策时,需要使其收入再分配效应处于一个合适的水平。现收现付制缴费和给付规则决定了其收入再分配效应,不同国家的制度设计不同,收入再分配效应也会有差异。中国养老保险制度的收入再分配效应与其他国家相比有何不同?中国的制度有哪些改进的空间?这些问题很值得研究。
本文对比分析了中国和其他一些国家,特别是美国强制性养老保险制度的收入再分配效应,探讨了如何对现行的养老金给付方式进行调整,使其在促进社会公平的同时,减轻对劳动供给的扭曲,提高社会福利。因为城镇职工基本养老保险是中国养老保险制度的主要组成部分,所以本文将其作为主要研究对象。
本文其他部分结构如下:第二部分对多个国家的强制性养老保险制度的收入再分配效应进行了对比,并以美国为参照,分析并总结了影响收入再分配效应的因素;第三部分在生命周期模型框架下分析了现收现付制对劳动供给的扭曲效应;第四部分结合第二部分的对比分析和第三部分的理论分析,给出了一个可能的制度调整方案;第五部分是结论并列出了一些需要进一步研究的问题。
二、强制性养老保险制度收入再分配效应对比分析
Edward Whitehouse(2007)对世界53个国家的强制性养老保险制度进行了研究,计算了这些国家强制性养老金的替代率,表1选取了部分国家,列出了不同收入水平人群的替代率,结果表明:大部分国家的强制性养老金替代率都有明显随收入的增加而下降的趋势,④即大部分国家的强制性养老金计划都有收入再分配效应。从表2可以看出,对于OECD国家而言,不同收入水平的人之间养老金替代率的差异很大,这表明:OECD这些发达经济体国家的强制性养老金制度的收入再分配效应更强。

考虑到美国的OASDI是其养老金体系的主要组成部分,在现收现付机制下运行,其中的老年、遗属保险(OASI)主要为退休职工提供养老保障,和中国城镇企业职工基本养老保险中的统筹部分有一定的可比性,⑤同时,限于篇幅,文本以下部分主要以美国老年、遗属保险为参照对象,通过具体计算,对比中国和美国养老保险体系中的现收现付部分的收入再分配效应,并说明影响现收现付制收入再分配效应的两个主要因素。
中国城镇企业职工基本养老保险制度的运行细则主要依据国务院2005年发布的《关于完善企业职工基本养老保险制度的决定》,其中规定:“(对于缴费满15年的人员)退休时的基础养老金月标准以当地上年度在岗职工月平均工资和本人指数化月平均缴费工资的平均值为基数,缴费每满1年发给1%。”⑥可以看出,其中的收入再分配作用体现在基础养老金计发基数是个人指数化月平均缴费工资与在岗职工月平均工资的均值。对于低收入的个人,可以提高基数,从而获得较高的替代率;而高收入的个人,则基数会降低,替代率也会相应降低。
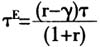
美国老年、遗属和残障保险计划养老金的给付规则比中国复杂很多。即使只考虑给退休人员的基本给付,也涉及多种情况导致养老金的折扣和抵消。为了便于和中国的情况进行比较,我们把基本保额(Primary Insurance Amount,PIA),即职工达到正常退休年龄(Normal Retirement Age,NRA)后本人所能领取的养老金与中国城镇企业职工基本养老保险中的基础养老金进行比较。基本保额是依据其参保期间的个人指数化月平均缴费工资进行计算,2011年的计算公式如下:

根据前面的分析,现收现付制的收入再分配效应体现在高收入者、低收入者在缴费比率上是一样的,但高收入者只能获得较低的替代率,而低收入者的替代率较高,我们主要以高、低收入者和中等收入者养老金替代率的差异代表收入再分配的程度来进行比较。
为了使对比更加直观,我们只考虑比较简单的情形,假设参保人只有三个收入水平:高收入、中等收入和低收入。其中,中等收入者的收入水平为平均工资水平,高收入为平均工资水平的300%,低收入为平均工资水平的60%,⑦并且假设他们在工作期间,工资一直保持平均工资水平或平均工资水平的一定比例。在这样的假设下,无论对于中国还是美国,个人指数化月平均缴费工资均等于其退休前一年的工资。假定个人的参保时间均为35年,都在2012年退休或达到正常退休年龄。⑧根据以上假设和相关规定,可以计算出他们在2012年的养老金给付以及替代率,如表3所示。

从表3可以看出,两者在收入再分配效应方面有以下区别:(1)中国的现收现付制的收入再分配是“对称”的,即低收入者替代率的提高等于高收入者替代率的降低,都是大约12%。而美国则是“不对称”的,高收入者替代率比中等收入者要低约18%,而低收入者比中等收入者只高约8%。(2)中国的缴费率要高于美国,但美国给付机制方面的收入再分配作用要强于中国。虽然中国低收入者替代率的提高(约12%)高于美国(约8%),但中国的缴费率几乎是美国的2倍。因为现收现付制的基本原则是当期收支平衡,(11)所以,如果中国的缴费率降到和美国相当的水平,其替代率也要降为原来的1/2,高收入者和低收入者与中等收入者的替代率差距也会降到约6%。由此来看,在给付机制方面,中国现收现付制的收入再分配效应要明显弱于美国,制度对于低收入者的吸引力也要弱于美国。
从前面分析可以得出,收入再分配的程度由两方面的因素决定:一是现收现付制的缴费比例;二是给付机制的设计。直观上看,在给付机制确定的条件下,现收现付制的缴费率越高,收入再分配的效应越明显;在缴费率一定的情况下,收入再分配效应主要受给付机制的影响。在美国制度中,缴费率较低,给付机制所起的作用较大;中国制度的缴费率较高,但在给付机制方面的再分配效应较小。这两种制度设计的思路及对于劳动供给的作用是以下两个部分要分析的问题。
三、现收现付制对于劳动供给的扭曲作用
现收现付制的收入再分配效应促进了社会公平,但它也会造成高收入者给付的精算现值小于其缴费的精算现值。财富从高收入者转移给低收入者会降低高收入者劳动的积极性,降低其劳动供给,产生负面效应。只要存在收入的再分配,通常情况下都会造成对劳动供给的扭曲。因此,讨论现收现付制的收入再分配效应应当同时讨论收入再分配对于劳动供给的影响,这样才能更加全面和准确地看出它的影响效应。(12)
前面提到,缴费率和给付机制共同影响收入再分配效应,所以两者都会对劳动供给产生扭曲的作用,但两者的扭曲作用是有区别的。本部分将通过一个简化的生命周期模型进行分析。
给付机制是一个比较抽象的概念,为了便于进行理论分析,在这一部分中,把给付机制具体化为制度回报率。无论是中国还是美国,现收现付制的给付机制,都是使高收入者替代率较低,低收入者替代率较高,本质上是赋予高收入者较低的制度回报率,而赋予低收入者较高的制度回报率。
考虑建立一个有现收现付养老保险制度的生命周期模型。假设一个人一生有两期,工作期与退休期。工作期的工资率为w,工作时间为N,闲暇为1-N,取得工资收入W=wN,按工资的一定比率缴纳养老保险费,缴费率为τ,储蓄S,消费
。现收现付制的制度回报率为γ,其在退休期消费掉养老金和所有储蓄,退休期的消费为
。工作期消费,退休期的消费以及工作期的闲暇,都进入他的效用函数。个人选择工作时间,分配两期的消费以最大化其一生的效用。最优化问题的数学表达如下:(13)

令
。
是现收现付制的有效税率(effective tax rate)。当有效税率为正时(即r>γ时),现收现付制减少了个人的实际工资率,进而减少了个人效用最大化时的N,即劳动的供给,可见现收现付制对于劳动供给的扭曲体现在对于有效税率的影响上。有效税率越高,扭曲越严重。(15)
在利率外生的情况下,将τ和γ分别对
求导,可得:

因为存在现收现付制的收入再分配效应,高收入者通常只能获得较低的制度回报率,所以对于高收入者而言,γ<r。由此可见,现收现付制的缴费率越高,制度回报率越低,有效税率越高,对高收入者的劳动供给扭曲就越严重。
四、制度调整方案
第三部分利用理论模型给出了缴费率和制度回报率对于有效税率的影响,借此刻画了现收现付制对于劳动供给的扭曲作用。在这一部分中,我们综合考虑现收现付制的收入再分配效应和劳动扭曲效应,探讨中国现行制度的改进空间。
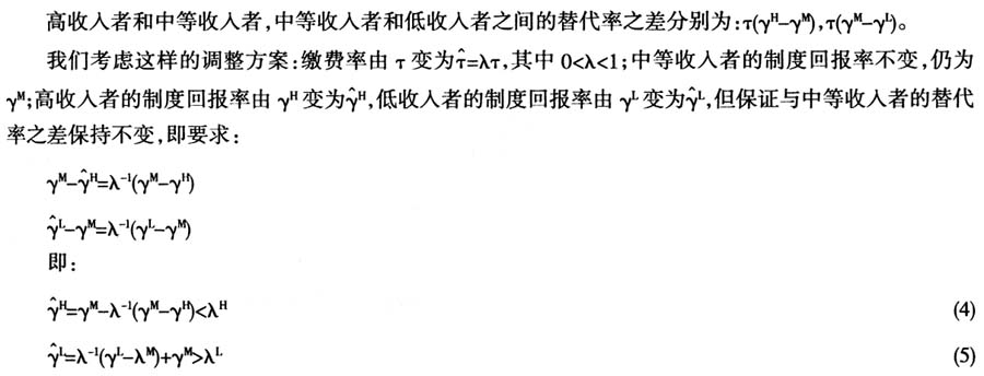
可以看出,在第三部分的模型中,τ(1+γ)即为现收现付制养老金替代率。设
分别是高收入者、中等收入者和低收入者的制度回报率,满足
,他们的缴费率均为τ。我们认为,如果高收入者和中等收入者之间,中等收入者和低收入者之间的替代率的差异相同,则制度的收入再分配效应也相同。(16)

以上结果显示,在这种调整方案下,高收入者的制度回报率下降,低收入者的制度回报率上升。受缴费率的影响,高、中、低收入者的替代率会下降,但因为制度回报率提高,低收入者替代率的下降幅度最小。因为缴费率降低了,假如低收入者将节省的缴费用于储蓄,则其实际替代率为:

从公式(6)可以看出,只要中等收入者的制度回报率低于或等于利率,低收入者的实际替代率就不会降低。
从现收现付制的收支平衡看,缴费率下降会导致现收现付制的收入下降,替代率的下降使支出下降,低收入者制度回报率的上升导致的支出增加可以由高收入者替代率的下降来弥补,总体可以达到基本平衡。(17)
接下来分析这样的调整是否会对高收入者的劳动供给产生扭曲,即:是否会对高收入者的有效税率产生影响?如果有影响,是一种怎样的影响?

可以看出,只要中等收入者的制度回报率低于利率,就可以得到:
。这一调整降低了对于高收入者的有效税率,减小了对高收入者劳动供给的扭曲。(18)
以上调整方案的直观含义是:如果中等收入者的制度回报率低于利率,通过降低缴费率,降低高收入者的制度回报率,提高低收入者的制度回报率,即在给付机制上向低收入者进一步倾斜,就可以增强对于低收入者的保障,提高制度对于低收入者的吸引力,同时降低对于高收入者劳动供给的扭曲。
从以上结论可以看出,如果我们选择x作为中等收入,使得
<r,以x为分界点,参照以上方案降低收入水平高于x的群体的制度回报率,提高收入水平低于x的群体的制度回报率,就可以实现改进。王晓军和康博威(2009)依据中国现行的城镇职工基本养老保险制度针对特定人群测算了制度内部回报率,在假设工资增长率为8%,利率为4%的条件下,中等收入者(19)的制度回报率为3.9%,小于4%的利率水平。中等偏上收入者、较高收入者和高收入者的制度回报率分别为3.5%、3.2%、2.9%,中等偏下收入者、低收入者、最低收入者的制度回报率分别为4.3%、4.7%、5.2%。我们基于王晓军和康博威(2009)的测算和前面的分析可以得出,对于中国城镇职工基本养老保险而言,在降低缴费率的同时,调低中等收入以上群体的制度回报率,调高中等收入以下群体的制度回报率,即可实现制度的改进。
上述分析也解释了在收入再分配方面,美国的现收现付制度设计要优于中国,这一分析结论对于中国城镇职工基本养老保险统筹部分的给付机制调整具有一定的启示意义。但需要注意的是,这一调整需要有积累制的公共养老保险制度,职业年金等自愿性的养老保险金计划进行及时有效的补充,唯有如此,才能更加充分体现出其福利改进效应。
五、结论和需要进一步研究的问题
结合理论分析,本文得出了以下两个结论:(1)现收现付制的收入再分配效应受缴费率和不同收入者之间的制度回报率的差异两个因素影响,缴费率越高,制度回报率差异越大,收入再分配的效应越强;现收现付制对于高收入者的劳动扭曲效应受缴费率和其制度回报率的影响,缴费率越高,制度回报率越低,扭曲效应越强;(2)在降低缴费率的同时,降低高收入者的制度回报率,提高低收入者的制度回报率,可以增强对于低收入者的保障,提高制度对于低收入者的吸引力,同时降低对于高收入者劳动供给的扭曲。依据此思路,可以对中国城镇职工基本养老保险的给付机制进行以下改进:降低统筹部分的缴费比例,同时在给付机制上加大对于低收入者的倾斜。这一调整方案也有利于减小人口老龄化背景下现收现付制养老保险基金可能出现的缺口。
正如前文指出的那样,现收现付制的收入再分配效应和参保人的收入不均等程度相关,并且贫富差距也在一定程度上决定了给付机制的设计,但因为目前还没有权威的收入分布数据,(20)所以本文的分析以及给付机制的调整方案都没有考虑这个因素,也就无法得到更加具体的给付方案。随着相关数据的完善,进一步考虑收入分布因素,考察其在缩小贫富差距,促进社会公平方面的作用是一个研究方向。另外,本文在分析现收现付制对于劳动供给的扭曲效应时,将有效税率作为扭曲程度的代表,虽然通常认为,并且国外有实证研究表明,正的有效税率会对劳动的供给产生扭曲,但还需要针对中国的情况进行实证研究,以确定是否存在影响以及影响程度如何。
最后,需要指出的是,中国养老保险制度收入再分配效应的发挥单靠调整给付机制是不够的,它需要养老保险制度其他方面以及收入分配制度等领域的改革配套与衔接。例如:如果没有建立比较完善的积累制,养老金没有合适的投资渠道,无法增值,降低现收现付制的缴费比例就不具备充分的条件;再比如说,中国目前的隐性收入问题突出,劳动报酬在初次分配中比例偏低使养老保险制度的收入再分配效应无法作用于相当部分的高收入群体,也就无法充分发挥收入再分配的作用。如何进行相应制度的配套与衔接也是需要进一步研究的问题。
注释:
①如英国、澳大利亚与一些拉美国家等。
②Edward Whitehouse(2007)按照功能把强制性的养老保险制度分为两个层面:再分配部分(redistributive part)和保险部分(insurance part),通过分析世界53个国家的强制养老金制度的结构,他们发现,除也门外,其他国家都包含再分配的部分。
③普惠性养老金不需要缴费,可能会造成“养懒汉”的现象。强制性社会统筹养老金虽然在给付方面向低收入者倾斜,但一般需要缴费达到一定年限才能有领取资格,因而从一定程度上体现了激励的原则。
④从表1可以看出,智利不同收入者的养老金替代率基本一样,原因在于智利强制性养老金计划的主体是积累制,没有收入再分配的作用。
⑤需要注意的是:美国老年、遗属保险(OASI)不只为退休人员提供退休金,同时也为遗属提供保障,这部分保障具有寿险的功能。而中国城镇企业职工基本养老保险只具有纯粹的养老保险的职能,所以从这个角度看,美国老年、遗属保险(OASI)更加慷慨。
⑥这个计发办法是针对“新人”的,“中人”和“老人”的养老金计发采用老办法。
⑦在美国社会保障管理局(Social Security Administration)公布的相关数据和研究报告里,通常把低收入定义为全国平均工资的45%,高收入定义为交纳最高社会保障税的工资水平(大约为平均工资水平的3倍)。在中国通常把低收入定义为平均工资的60%,为了便于比较以及研究中国的情况,本文定义低收入为平均工资的60%。
⑧事实上,在中国,2012年退休的职工实际上是所谓的“中人”,从1997年算起,参保时间最多15年,不可能达到35年,但本文只是针对制度本身进行比较,不考虑现实中退休职工得到的给付是多少。
⑨中国现行制度并没有严格规定企业缴费的比例,只是原则上规定统筹部分缴费“一般不超过企业工资总额的20%”,这里我们采用20%;美国的缴费率根据1976-2011年的美国老年、遗属保险(OASI)的缴费率(雇主缴费加上雇员缴费)的算术平均计算。
⑩即2012年退休职工的个人指数化月平均缴费工资(AIME)。
(11)实际情况通常是,现收现付的养老基金账户也有一定的结余或赤字,如果有结余,会进行滚存;如果有赤字,政府会动用财政收入进行弥补。中国目前的情况是,对于基础养老金支出,既有财政补贴,部分个人账户也被挪用以弥补基础养老金的不足。
(12)现收现付制对劳动供给的影响对于低收入者也存在,因为财富的转移会增加低收入者劳动的积极性。然而,如果低收入者的劳动时间已经达到或接近上限,再加上法律对于工作时间和休息休假有相应的规定,那么这种激励作用是有限的。鉴于此,本文只考虑现收现付制对于高收入者劳动供给的扭曲。
(13)本文没有对这个最优化问题进行求解,只是为了说明缴费率和制度回报率如何影响有效税率,进而影响劳动供给,所以没有给出效用函数的具体形式。
(14)考虑到个人对于闲暇的效用函数可能与对于消费的效用函数不同,同时对两者所赋予的权重也不同,所以为了表示区别,用V(·)表示个人对于闲暇的效用。
(15)用有效税率的高低表示对劳动的扭曲程度的想法受到了Blake(2006)以及Feldstein和Liebman(2002)的启发。(16)实际上,收入再分配效应和社会成员的收入分布,或者说基尼系数也有关系。基尼系数越低,收入越均等,现收现付制的收入再分配效应越弱;基尼系数越高,收入越不均等,现收现付制的收入再分配效应越强。但因为中国的劳动收入分布数据缺乏,所以无法把这个因素纳入本文的考虑范围,本文只是设定高收入者和低收入者的水平,从个人的角度,而没有从总体的角度考察收入再分配效应。
(17)和现收现付制向积累制转变一样,现收现付制缴费率的下降同样会带来转轨成本的问题,缴费下降时已经退休的人是按原始费率缴费,所以他们还会享有较高的替代率,但此时在职人员已经按照低费率进行缴费。如果原来的制度收支平衡,现在就会出现缺口,但相对而言,转轨成本要小一些。
(18)但并非缴费率越小越好,过低的缴费率会导致没有足够的基金收入转移给低收入者,并且高收入者制度回报率的调整幅度是有限的,要使得
,就要满足
。
(19)这里的“中等收入”特指国家统计局在对城镇居民收入水平划分时规定的中等收入,不同于前面理论分析时的“中等收入”。国家统计局城市社会经济调查总队规定,城市居民家庭按生活费收入的高低共划分为7组:最低收入户、低收入户、中等偏下户、中等收入户、中等偏上户、高收入户和最高收入户。
(20)国家统计局在2013年年初公布了中国过去10年的基尼系数,争议较大,并且没有公布更加具体的收入分布数据。
【参考文献】
[1]封进:《中国养老保险体系改革的福利经济学分析》,《经济研究》2004年第2期。
[2]国家统计局:《中国统计年鉴2012》,中国统计出版社2012年版。
[3]何立新:《中国城镇养老保险制度改革的收入分配效应》,《经济研究》2007年第3期。
[4]毛捷:《中国社会福利体系适度性研究——国际比较与实证分析》,《财贸经济》2012年第2期。
[5]彭浩然、申曙光:《改革前后我国养老保险制度的收入再分配效应比较研究》,《统计研究》2007年第2期。
[6]王晓军、康博威:《我国社会养老保险制度的收入再分配效应分析》,《统计研究》2009年第11期。
[7]Alan S. Blinder, Private Pensions and Public Pensions: Theory & Fact. W. S. Wotinsky Lecture No. 5, Institute of Public Policy Studies, University of Michigan, 1981.
[8]David Blake, Pension Economics. Chichester: John Wiley & Sons Ltd, 2006.
[9]Edward Whitehouse, Pensions Panorama: Retirement-Income Systems in 53 Countries. Washington, D.C.: World Bank, 2007.
[10]George E Rejda(7[th] ed.),Social Insurance and Economic Security. Armonk, N. Y.: M. E. Sharpe, 2012.
[11]Martin Feldstein and Jeffrey B. Liebman, Social Security. In Alan J. Auerbach and Martin Feldstein, Handbook of Public Economics. Amsterdam: Elsevier, 2002, pp. 2245—2324.
[12]Nicholas Barr and Peter Diamond, Pension Reform in China: Issues, Options and Recommendations, China Economic Research and Advisory Programme. February, 2010.
[13]Robert Holzmann and Richard Hinz, Old-age Income Support in the 21st Century: An International Perspective on Pension Systems and Reform. Washington, D. C.: World Bank, 2005.
[14]Social Security Administration, Annual Statistical Supplement to the Social Security Bulletin, 2012. Washington, D. C.: SSA Publication No. 13—11700, 2013.
【出处:《财贸经济》】
“中国养老保险制度的收入再分配效应分析”由中国社保网收集整理编辑。
本文地址:http://www.shebaodata.com/xinwen/79830.html
为了社保知识的普及、信息的传播,中国社保网欢迎您转载分享。但请注明文章出处并保留完整链接。否则我们将保留追究其版权责任的权利!
人
2019年社保统归税务征收,中共中央办公厅、国务院办公厅印发《国税地税征管体制改革方案》。社保巨变!2019年1月1日已实施,各行业要当心了!...[查看全文]

【中国社保网编辑按】五险一金是什么?相信每位刚入职的新员工面对复杂的社保体系都是一头雾水,人事经理时常被员工一些幼稚的问题问得不耐烦,本地宝办事易频道为您整理出...[查看全文]